Официальное опубликование правовых актов
ОФИЦИАЛЬНОЕ ОПУБЛИКОВАНИЕ
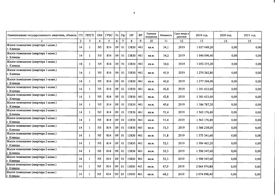
Постановление Правительства Брянской области от 18.11.2019 № 530-п
"О внесении изменений в постановление Правительства Брянской области от 31 декабря 2018 года № 763-п"
Номер опубликования: 3200201911210012
Дата опубликования: 21.11.2019
Страница №14 из 21:
Увеличить