Официальное опубликование правовых актов
ОФИЦИАЛЬНОЕ ОПУБЛИКОВАНИЕ
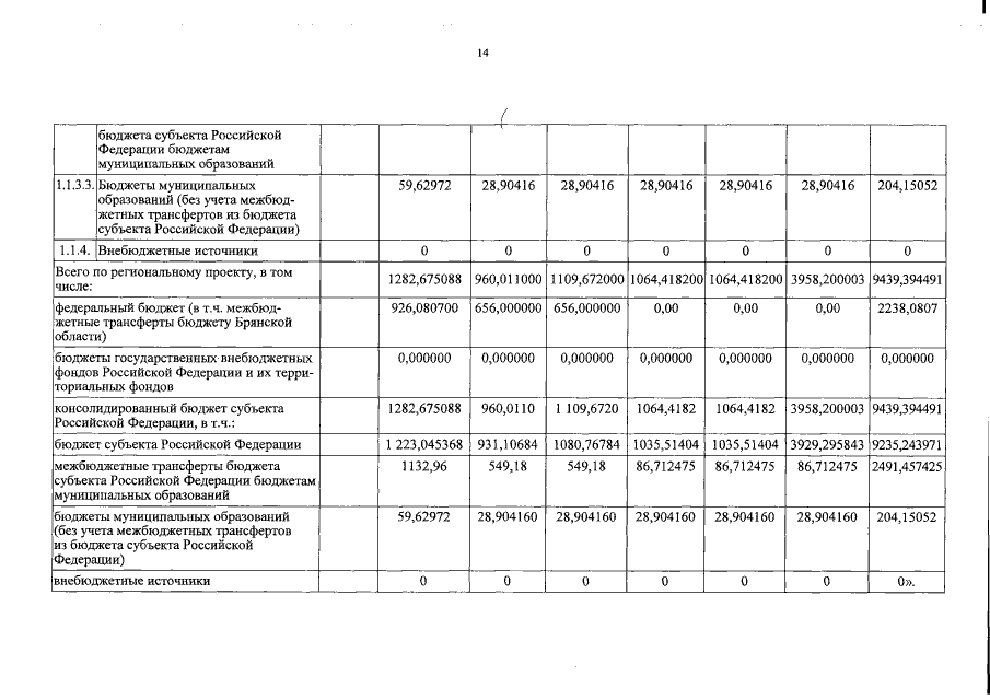
Постановление Правительства Брянской области от 18.11.2019 № 529-п
"О внесении изменений в государственную программу "Обеспечение реализации государственных полномочий в области строительства, архитектуры и развитие дорожного хозяйства Брянской области"
Номер опубликования: 3200201911210006
Дата опубликования: 21.11.2019
Страница №14 из 28:
Увеличить