Официальное опубликование правовых актов
ОФИЦИАЛЬНОЕ ОПУБЛИКОВАНИЕ
Распоряжение Правительства Брянской области от 29.10.2019 № 227-рп
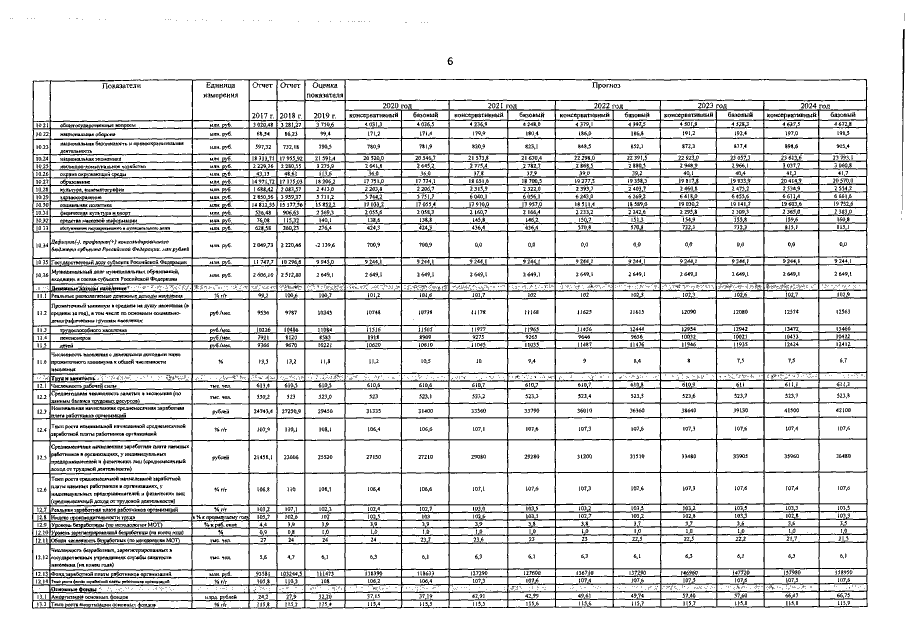
"Об одобрении прогноза социально-экономического развития Брянской области на период до 2024 года"
Номер опубликования: 3200201910310006
Дата опубликования: 31.10.2019
Страница №7 из 8:
Увеличить