Официальное опубликование правовых актов
ОФИЦИАЛЬНОЕ ОПУБЛИКОВАНИЕ
Постановление Правительства Брянской области от 21.10.2019 № 493-п
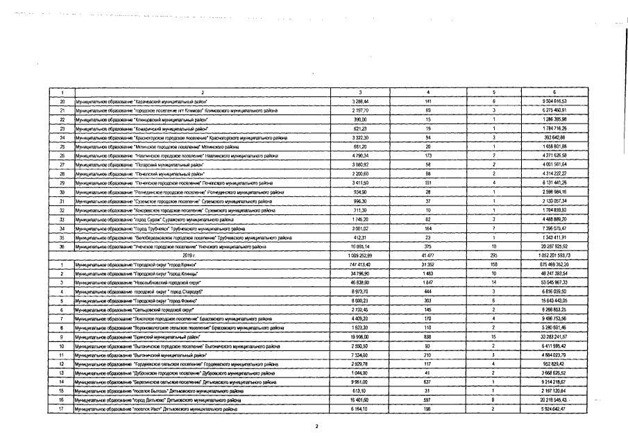
"О внесении изменений в краткосрочный (2017 - 2019 годы) план реализации региональной программы "Проведение капитального ремонта общего имущества многоквартирных домов на территории Брянской области" (2014 - 2043 годы)"
Номер опубликования: 3200201910250017
Дата опубликования: 25.10.2019
Страница №53 из 54:
Увеличить