Официальное опубликование правовых актов
ОФИЦИАЛЬНОЕ ОПУБЛИКОВАНИЕ
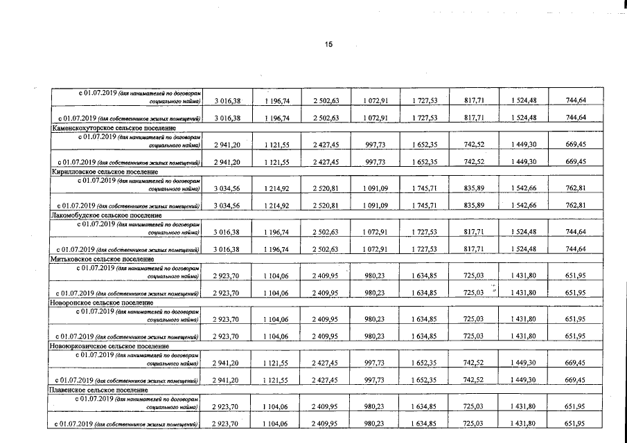
Постановление Правительства Брянской области от 21.10.2019 № 490-п
"О региональных стандартах стоимости жилищно-коммунальных услуг, используемых для расчета субсидий на оплату жилого помещения и коммунальных услуг"
Номер опубликования: 3200201910250012
Дата опубликования: 25.10.2019
Страница №17 из 55:
Увеличить