Официальное опубликование правовых актов
ОФИЦИАЛЬНОЕ ОПУБЛИКОВАНИЕ
Постановление Правительства Брянской области от 14.10.2019 № 477-п
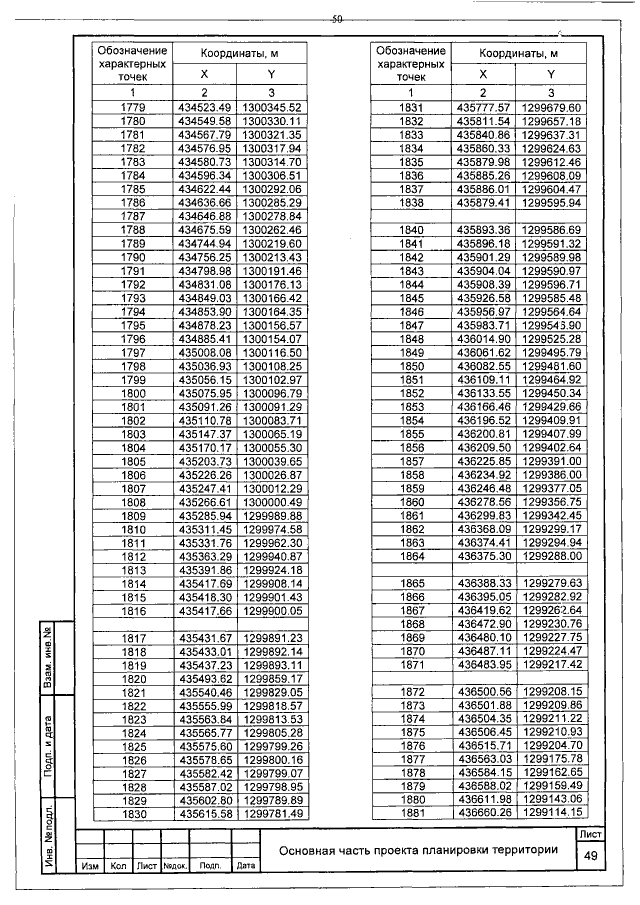
"Об утверждении основной части проекта планировки территории, содержащей проект межевания территории, для размещения линейного объекта на реконструкцию автомобильной дороги "Брянск - Новозыбков" - Баклань - Котляково на участке км 0+000 - км 17+690 в Унечском и Почепском районах Брянской области"
Номер опубликования: 3200201910180002
Дата опубликования: 18.10.2019
Страница №51 из 135:
Увеличить