Официальное опубликование правовых актов
ОФИЦИАЛЬНОЕ ОПУБЛИКОВАНИЕ
Постановление Правительства Брянской области от 30.09.2019 № 457-п
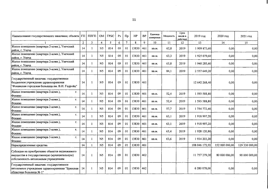
"О внесении изменений в постановление Правительства Брянской области от 31 декабря 2018 года № 763-п "Об утверждении перечней объектов бюджетных инвестиций государственной собственности региональной адресной инвестиционной программы на 2019 год и на плановый период 2020 – 2021 годов, перечней объектов капитальных вложений муниципальной собственности региональной адресной инвестиционной программы на 2019 год и на плановый период 2020 – 2021 годов и перечня объектов недвижимого имущества региональной адресной инвестиционной программы на 2019 год и на плановый период 2020 – 2021 годов, приобретаемого в государственную собственность Брянской области"
Номер опубликования: 3200201910040003
Дата опубликования: 04.10.2019
Страница №26 из 30:
Увеличить