Официальное опубликование правовых актов
ОФИЦИАЛЬНОЕ ОПУБЛИКОВАНИЕ
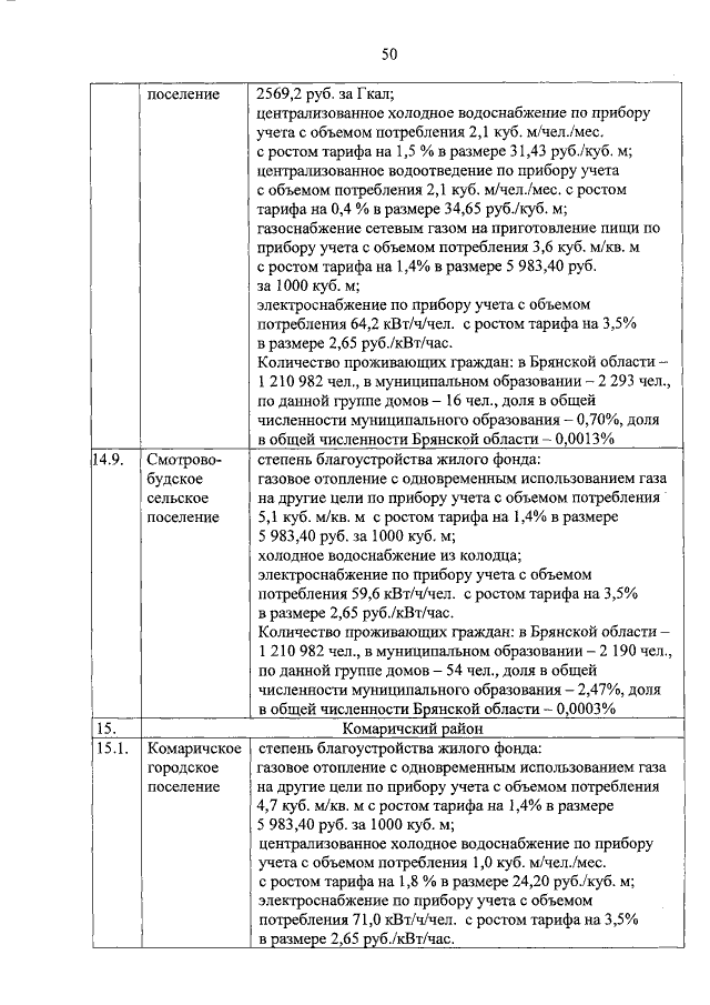
Указ Губернатора Брянской области от 30.08.2019 № 136
"О внесении изменений в указ Губернатора Брянской области от 31 декабря 2018 года № 306 "О предельных (максимальных) индексах изменения размера вносимой гражданами платы за коммунальные услуги в муниципальных образованиях Брянской области на 2019 год и долгосрочный период 2020 - 2023 годов"
Номер опубликования: 3200201909040008
Дата опубликования: 04.09.2019
Страница №52 из 91:
Увеличить