Официальное опубликование правовых актов
ОФИЦИАЛЬНОЕ ОПУБЛИКОВАНИЕ
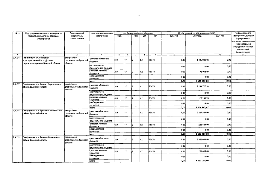
Постановление Правительства Брянской области от 26.08.2019 № 388-п
"О внесении изменений в государственную программу "Развитие сельского хозяйства и регулирование рынков сельскохозяйственной продукции, сырья и продовольствия Брянской области"
Номер опубликования: 3200201908300010
Дата опубликования: 30.08.2019
Страница №21 из 65:
Увеличить