Официальное опубликование правовых актов
ОФИЦИАЛЬНОЕ ОПУБЛИКОВАНИЕ
Постановление Правительства Брянской области от 23.08.2019 № 377-п
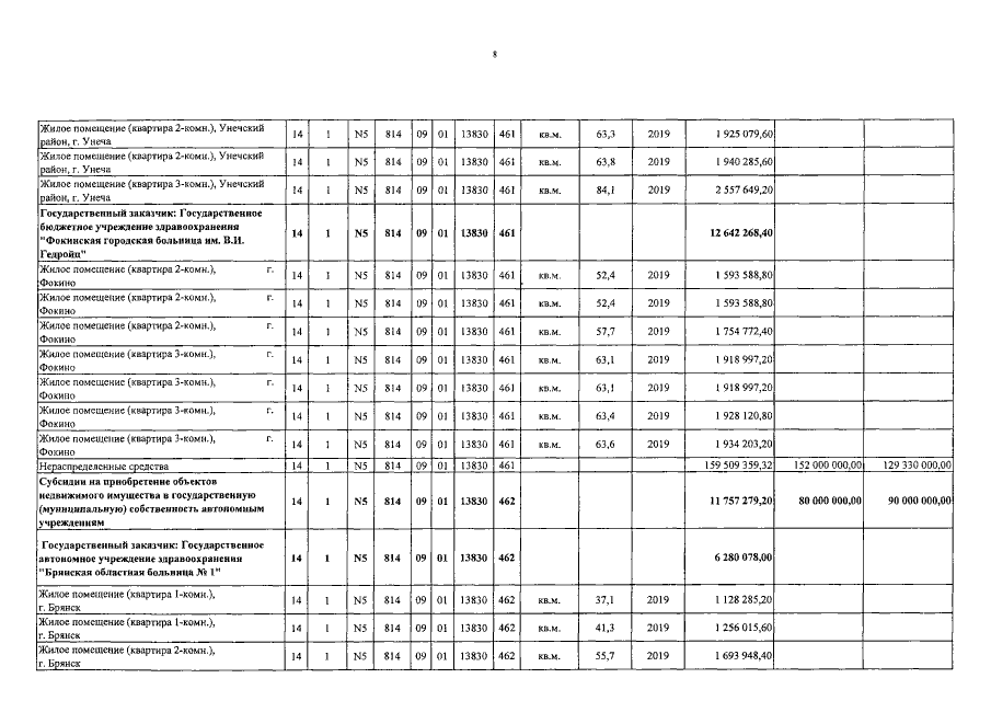
"О внесении изменений в постановление Правительства Брянской области от 31 декабря 2018 года № 763-п "Об утверждении перечней объектов бюджетных инвестиций государственной собственности региональной адресной инвестиционной программы на 2019 год и на плановый период 2020 - 2021 годов, перечней объектов капитальных вложений муниципальной собственности региональной адресной инвестиционной программы на 2019 год и на плановый период 2020 - 2021 годов и перечня объектов недвижимого имущества региональной адресной инвестиционной программы на 2019 год и на плановый период 2020 - 2021 годов, приобретаемого в государственную собственность Брянской области"
Номер опубликования: 3200201908270003
Дата опубликования: 27.08.2019
Страница №99 из 102:
Увеличить