Официальное опубликование правовых актов
ОФИЦИАЛЬНОЕ ОПУБЛИКОВАНИЕ
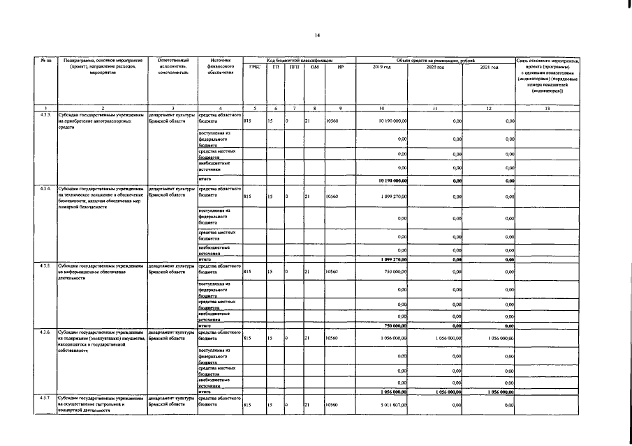
Постановление Правительства Брянской области от 29.04.2019 № 194-п
"О внесении изменений в государственную программу "Развитие культуры и туризма в Брянской области"
Номер опубликования: 3200201904300014
Дата опубликования: 30.04.2019
Страница №17 из 45:
Увеличить