Официальное опубликование правовых актов
ОФИЦИАЛЬНОЕ ОПУБЛИКОВАНИЕ
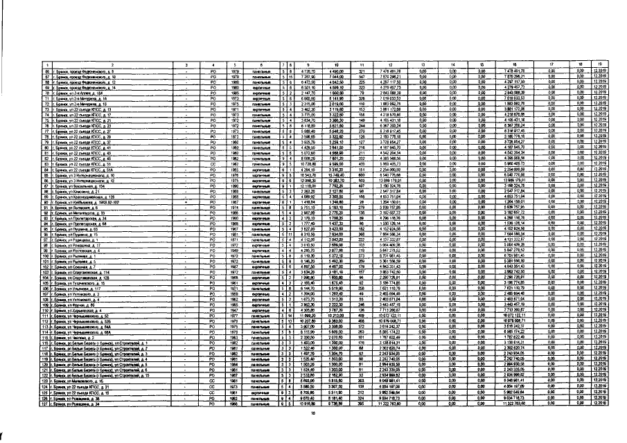
Постановление Правительства Брянской области от 18.03.2019 № 111-п
"О внесении изменений в краткосрочный (2017 – 2019 годы) план реализации региональной программы "Проведение капитального ремонта общего имущества многоквартирных домов на территории Брянской области" (2014 – 2043 годы)"
Номер опубликования: 3200201903220020
Дата опубликования: 22.03.2019
Страница №31 из 54:
Увеличить