Официальное опубликование правовых актов
ОФИЦИАЛЬНОЕ ОПУБЛИКОВАНИЕ
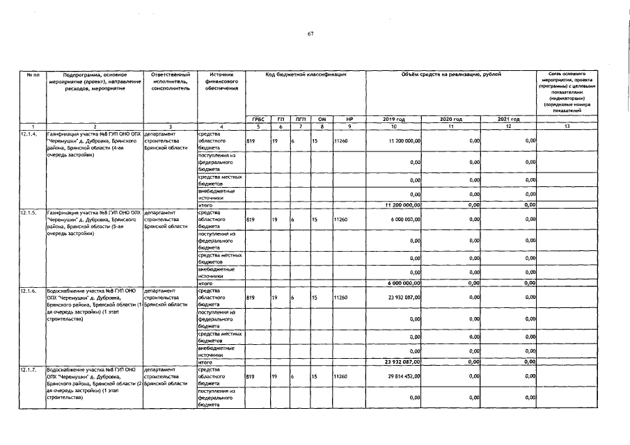
Постановление Правительства Брянской области от 06.03.2019 № 64-п
"О внесении изменений в государственную программу "Обеспечение реализации государственных полномочий в области строительства, архитектуры и развитие дорожного хозяйства Брянской области"
Номер опубликования: 3200201903110003
Дата опубликования: 11.03.2019
Страница №67 из 70:
Увеличить