Официальное опубликование правовых актов
ОФИЦИАЛЬНОЕ ОПУБЛИКОВАНИЕ
Постановление Правительства Брянской области от 11.02.2019 № 38-п
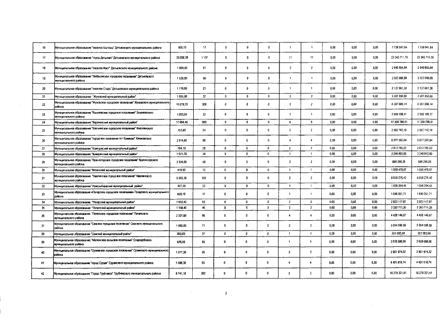
"О внесении изменений в краткосрочный (2017 - 2019 годы) план реализации региональной программы "Проведение капитального ремонта общего имущества многоквартирных домов на территории Брянской области" (2014 - 2043 годы)"
Номер опубликования: 3200201902180001
Дата опубликования: 18.02.2019
Страница №20 из 52:
Увеличить