Официальное опубликование правовых актов
ОФИЦИАЛЬНОЕ ОПУБЛИКОВАНИЕ
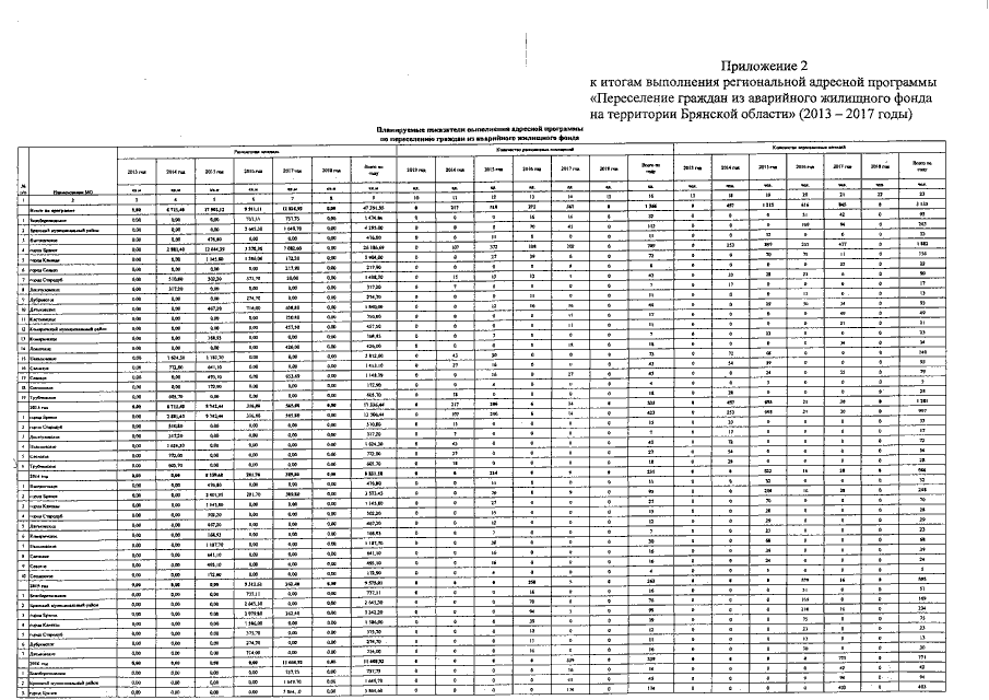
Постановление Правительства Брянской области от 04.02.2019 № 24-п
"Об итогах выполнения региональной адресной программы "Переселение граждан из аварийного жилищного фонда на территории Брянской области" (2013 - 2017 годы)"
Номер опубликования: 3200201902130002
Дата опубликования: 13.02.2019
Страница №13 из 22:
Увеличить