Официальное опубликование правовых актов
ОФИЦИАЛЬНОЕ ОПУБЛИКОВАНИЕ
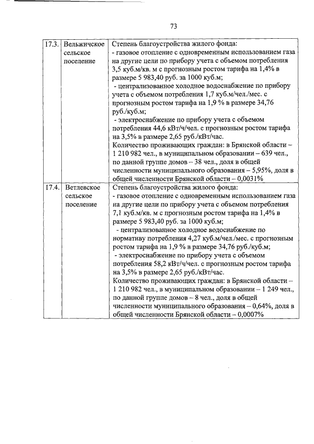
Указ Губернатора Брянской области от 31.12.2018 № 306
"О предельных (максимальных) индексах изменения размера вносимой гражданами платы за коммунальные услуги в муниципальных образованиях Брянской области на 2019 год и долгосрочный период 2020 - 2023 годов"
Номер опубликования: 3200201901100003
Дата опубликования: 10.01.2019
Страница №109 из 165:
Увеличить