Официальное опубликование правовых актов
ОФИЦИАЛЬНОЕ ОПУБЛИКОВАНИЕ
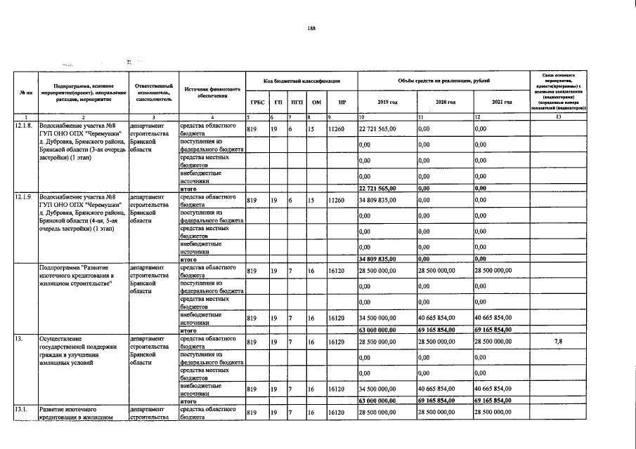
Постановление Правительства Брянской области от 27.12.2018 № 731-п
"Об утверждении государственной программы "Обеспечение реализации государственных полномочий в области строительства, архитектуры и развитие дорожного хозяйства Брянской области"
Номер опубликования: 3200201901040018
Дата опубликования: 04.01.2019
Страница №193 из 194:
Увеличить