Официальное опубликование правовых актов
ОФИЦИАЛЬНОЕ ОПУБЛИКОВАНИЕ
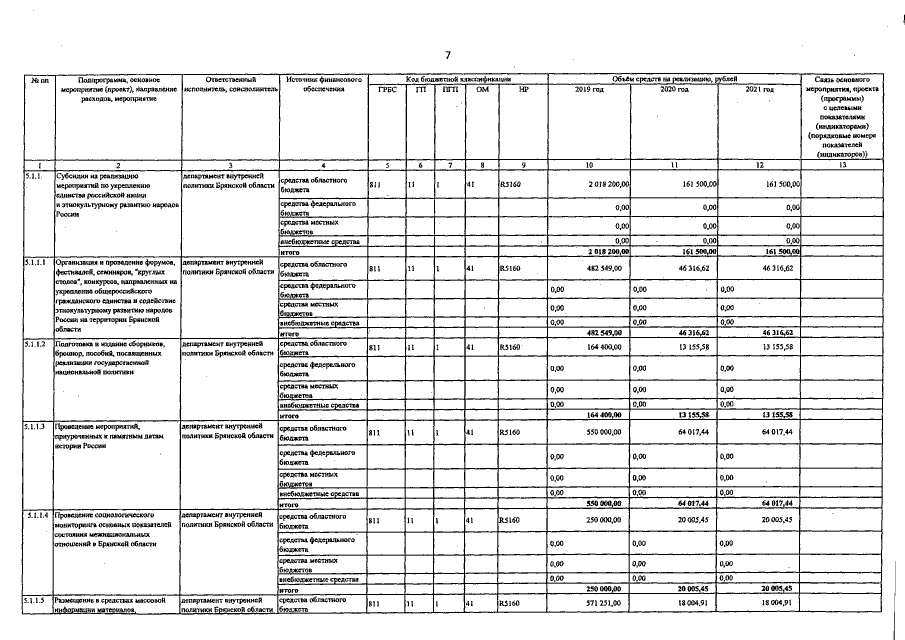
Постановление Правительства Брянской области от 27.12.2018 № 733-п
"Об утверждении государственной программы "Региональная политика Брянской области"
Номер опубликования: 3200201901040016
Дата опубликования: 04.01.2019
Страница №42 из 50:
Увеличить