Постановление Правительства Брянской области от 27.12.2018 № 733-п
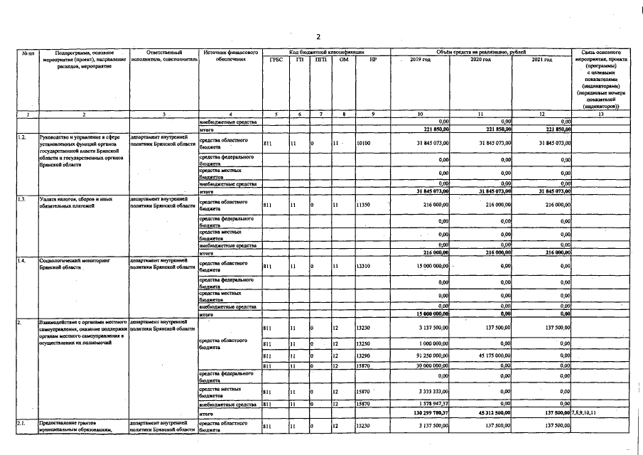
"Об утверждении государственной программы "Региональная политика Брянской области"
"Об утверждении государственной программы "Региональная политика Брянской области"
Номер опубликования: 3200201901040016
Дата опубликования:
04.01.2019
