Официальное опубликование правовых актов
ОФИЦИАЛЬНОЕ ОПУБЛИКОВАНИЕ
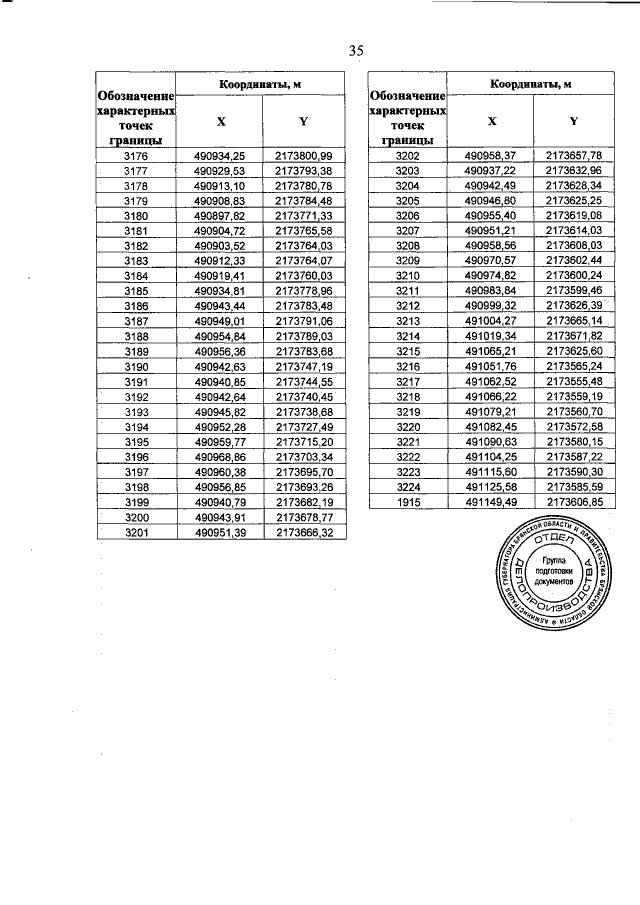
Указ Губернатора Брянской области от 27.12.2018 № 295
"Об установлении охранной зоны памятников природы "Овраги Верхний и Нижний Судки с родниками, бровками и отвершками в г. Брянске (Брянские балки)" и об утверждении ее Положения и границ"
Номер опубликования: 3200201812290030
Дата опубликования: 29.12.2018
Страница №42 из 43:
Увеличить