Официальное опубликование правовых актов
ОФИЦИАЛЬНОЕ ОПУБЛИКОВАНИЕ
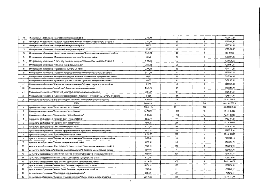
Постановление Правительства Брянской области от 03.12.2018 № 624-п
"О внесении изменений в краткосрочный (2017 — 2019 годы) план реализации региональной программы "Проведение капитального ремонта общего имущества многоквартирных домов на территории Брянской области" (2014 — 2043 годы)"
Номер опубликования: 3200201812100002
Дата опубликования: 10.12.2018
Страница №49 из 50:
Увеличить