Официальное опубликование правовых актов
ОФИЦИАЛЬНОЕ ОПУБЛИКОВАНИЕ
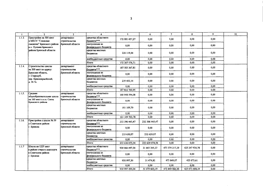
Постановление Правительства Брянской области от 09.11.2018 № 569-п
"О внесении изменений в государственную программу "Создание новых мест в общеобразовательных организациях Брянской области в соответствии с прогнозируемой потребностью и современными условиями обучения" (2016 — 2025 годы)"
Номер опубликования: 3200201811140002
Дата опубликования: 14.11.2018
Страница №5 из 12:
Увеличить