Официальное опубликование правовых актов
ОФИЦИАЛЬНОЕ ОПУБЛИКОВАНИЕ
Постановление Правительства Брянской области от 01.11.2018 № 565-п
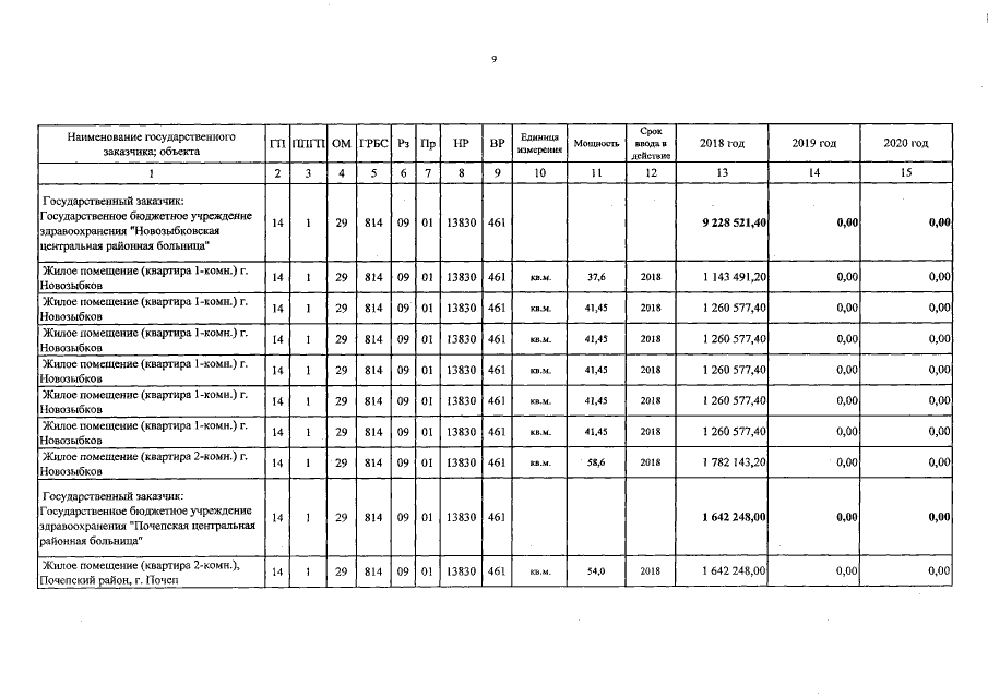
"О внесении изменений в постановление Правительства Брянской области от 28 декабря 2017 года № 755-п "Об утверждении перечней объектов бюджетных инвестиций государственной собственности региональной адресной инвестиционной программы на 2018 год и на плановый период 2019 – 2020 годов, перечней объектов капитальных вложений муниципальной собственности региональной адресной инвестиционной программы на 2018 год и на плановый период 2019 – 2020 годов и перечня объектов недвижимого имущества региональной адресной инвестиционной программы на 2018 год и на плановый период 2019 – 2020 годов, приобретаемого в государственную собственность Брянской области"
Номер опубликования: 3200201811090004
Дата опубликования: 09.11.2018
Страница №118 из 131:
Увеличить