Официальное опубликование правовых актов
ОФИЦИАЛЬНОЕ ОПУБЛИКОВАНИЕ
Постановление Правительства Брянской области от 15.10.2018 № 532-п
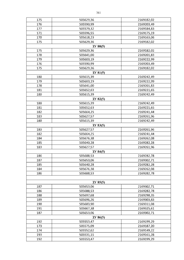
"О внесении изменений в проект межевания территории земельных участков, расположенных по адресу: Брянская область, Брянский район, дер. Дубровка, участок № 8 ГУП ОНО ОПХ "Черемушки"
Номер опубликования: 3200201810240002
Дата опубликования: 24.10.2018
Страница №393 из 403:
Увеличить