Официальное опубликование правовых актов
ОФИЦИАЛЬНОЕ ОПУБЛИКОВАНИЕ
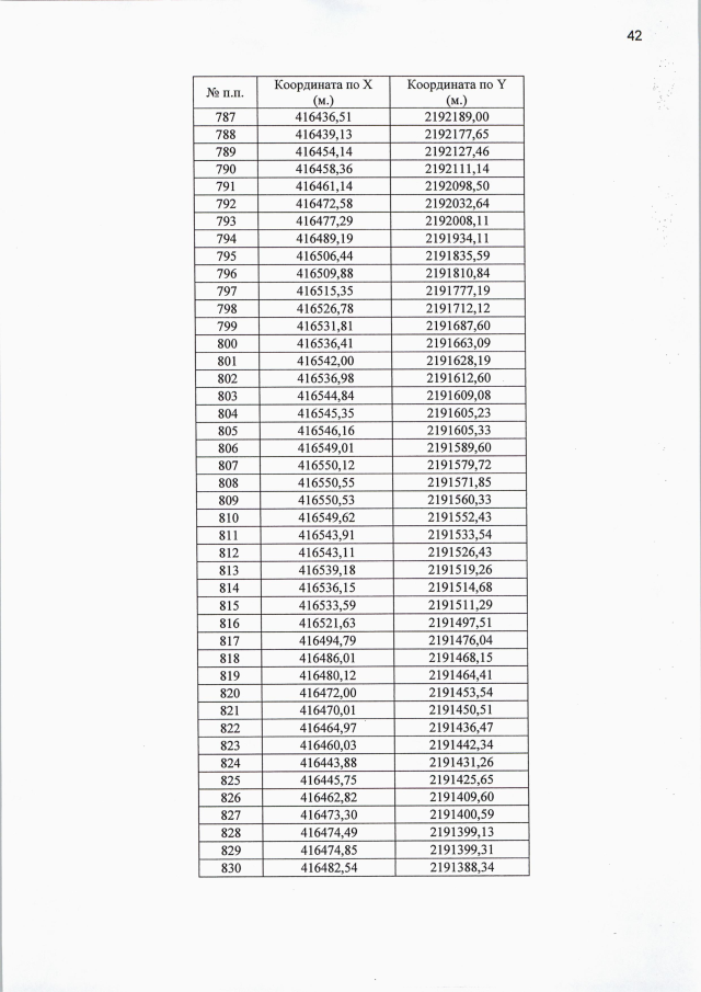
Постановление Правительства Брянской области от 01.10.2018 № 498-п
"Об утверждении проекта планировки территории, содержащего проект межевания территории, на реконструкцию автомобильной дороги Локоть — Кретово на участке км 3+300 — км 11+150 в Брасовском районе Брянской области"
Номер опубликования: 3200201810040017
Дата опубликования: 04.10.2018
Страница №43 из 197:
Увеличить