Официальное опубликование правовых актов
ОФИЦИАЛЬНОЕ ОПУБЛИКОВАНИЕ
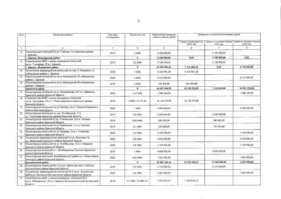
Постановление Правительства Брянской области от 01.10.2018 № 501-п
"О внесении изменений в перечень объектов государственной собственности Брянской области, по которым принимается решение о предоставлении субсидии из областного бюджета ГУП "Брянсккоммунэнерго" на осуществление капитальных вложений"
Номер опубликования: 3200201810040008
Дата опубликования: 04.10.2018
Страница №4 из 8:
Увеличить