Официальное опубликование правовых актов
ОФИЦИАЛЬНОЕ ОПУБЛИКОВАНИЕ
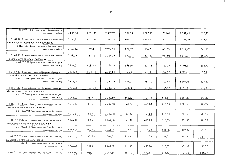
Постановление Правительства Брянской области от 24.09.2018 № 483-п
"О региональных стандартах стоимости жилищно- коммунальных услуг, используемых для расчета субсидий на оплату жилого помещения и коммунальных услуг"
Номер опубликования: 3200201809280005
Дата опубликования: 28.09.2018
Страница №17 из 56:
Увеличить