Официальное опубликование правовых актов
ОФИЦИАЛЬНОЕ ОПУБЛИКОВАНИЕ
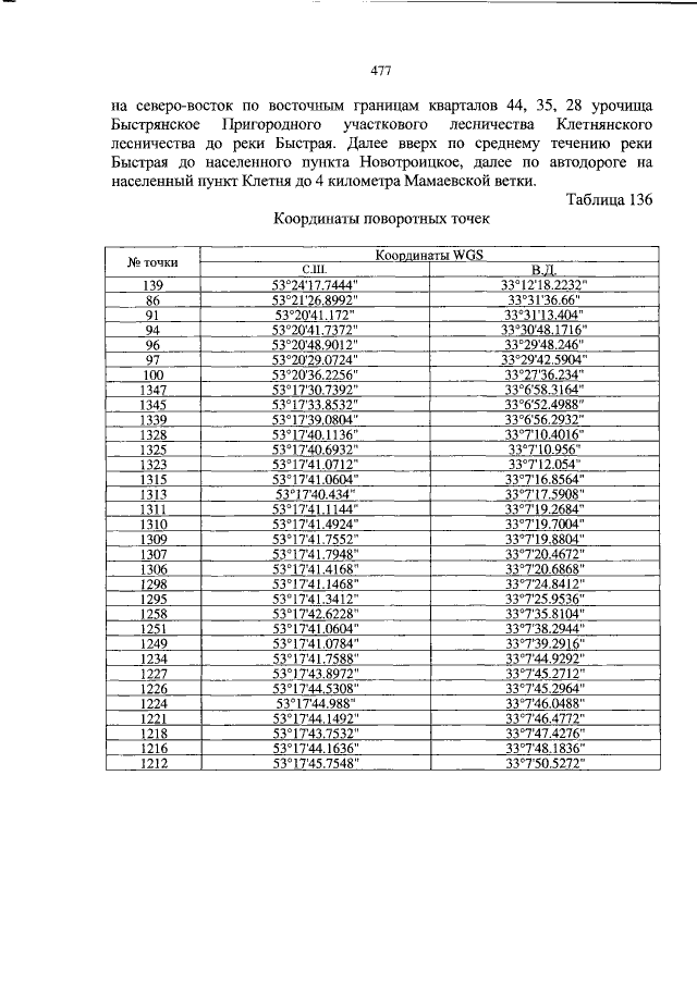
Указ Губернатора Брянской области от 21.09.2018 № 208
"Об утверждении схемы размещения, использования и охраны охотничьих угодий на территории Брянской области"
Номер опубликования: 3200201809260004
Дата опубликования: 26.09.2018
Страница №478 из 710:
Увеличить