Официальное опубликование правовых актов
ОФИЦИАЛЬНОЕ ОПУБЛИКОВАНИЕ
Указ Губернатора Брянской области от 08.08.2018 № 171
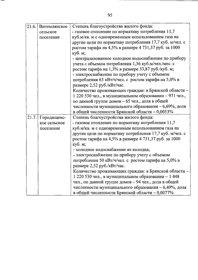
"О внесении изменений в указ Губернатора Брянской области от 29 декабря 2017 года № 240 "О предельных (максимальных) индексах изменения размера вносимой гражданами платы за коммунальные услуги в муниципальных образованиях Брянской области на 2018 год и долгосрочный период 2019 — 2020 годов"
Номер опубликования: 3200201808130007
Дата опубликования: 13.08.2018
Страница №131 из 161:
Увеличить