Официальное опубликование правовых актов
ОФИЦИАЛЬНОЕ ОПУБЛИКОВАНИЕ
Постановление Правительства Брянской области от 04.06.2018 № 288-п
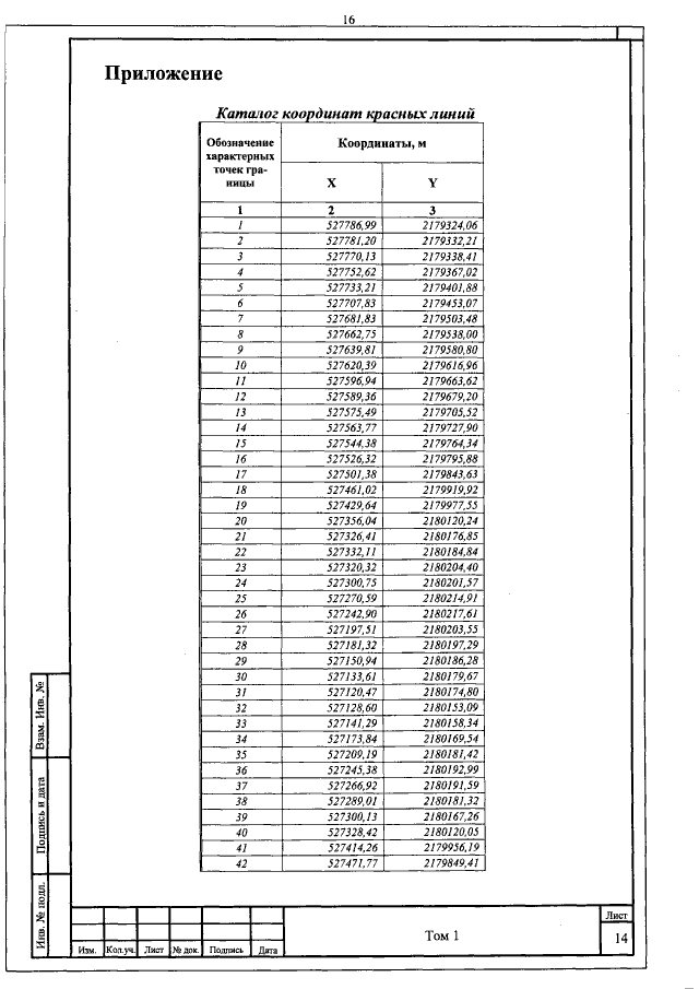
"Об утверждении проекта планировки и межевания территории "Реконструкция автомобильной дороги подъезд к с. Любышь на участке км 0+000 - км 1+000 в Дятьковском районе Брянской области"
Номер опубликования: 3200201806080008
Дата опубликования: 08.06.2018
Страница №17 из 94:
Увеличить