Официальное опубликование правовых актов
ОФИЦИАЛЬНОЕ ОПУБЛИКОВАНИЕ
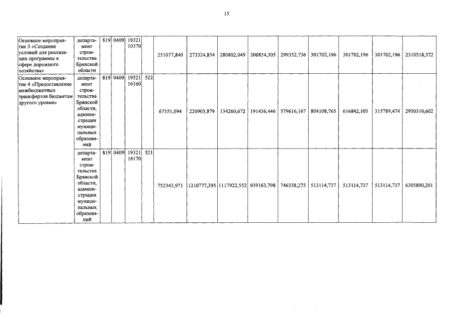
Постановление Правительства Брянской области от 21.05.2018 № 243-п
"О внесении изменений в государственную программу "Обеспечение реализации государственных полномочий в области строительства, архитектуры и развитие дорожного хозяйства Брянской области" (2014 — 2020 годы)"
Номер опубликования: 3200201805250006
Дата опубликования: 25.05.2018
Страница №15 из 87:
Увеличить