Официальное опубликование правовых актов
ОФИЦИАЛЬНОЕ ОПУБЛИКОВАНИЕ
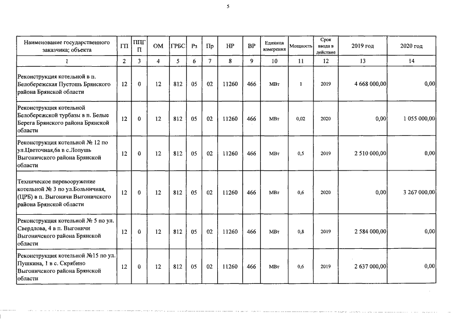
Постановление Правительства Брянской области от 21.05.2018 № 244-п
"О внесении изменений в перечни объектов бюджетных инвестиций государственной собственности региональной адресной инвестиционной программы на 2018 год и на плановый период 2019-2020 годов и перечни объектов капитальных вложений муниципальной собственности региональной адресной инвестиционной программы на 2018 год и на плановый период 2019- 2020 годов"
Номер опубликования: 3200201805250004
Дата опубликования: 25.05.2018
Страница №56 из 106:
Увеличить