Официальное опубликование правовых актов
ОФИЦИАЛЬНОЕ ОПУБЛИКОВАНИЕ
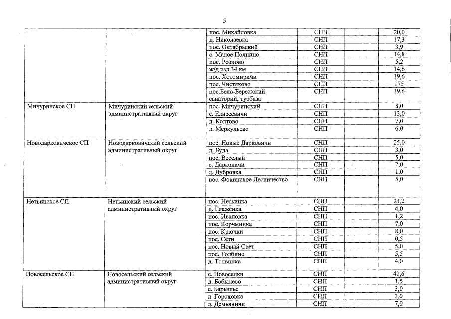
Постановление Правительства Брянской области от 14.05.2018 № 233-п
"Об утверждении реестра административно-территориальных единиц, административных округов, населенных пунктов Брянской области"
Номер опубликования: 3200201805160004
Дата опубликования: 16.05.2018
Страница №6 из 161:
Увеличить