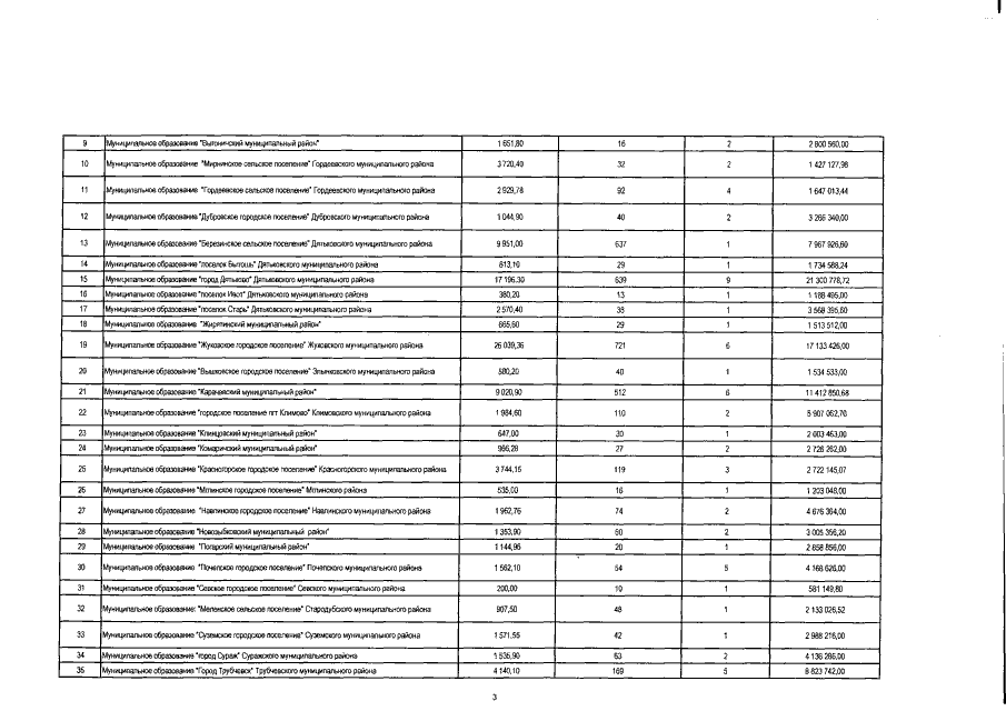
Постановление Правительства Брянской области от 20.03.2018 № 116-п
"О внесении изменений в краткосрочный (2017 - 2019 годы) план реализации ‚ региональной программы "Проведение капитального ремонта общего имущества многоквартирных домов на территории Брянской области" (2014 - 2043 годы)"
"О внесении изменений в краткосрочный (2017 - 2019 годы) план реализации ‚ региональной программы "Проведение капитального ремонта общего имущества многоквартирных домов на территории Брянской области" (2014 - 2043 годы)"
Номер опубликования: 3200201803230003
Дата опубликования:
23.03.2018
