Официальное опубликование правовых актов
ОФИЦИАЛЬНОЕ ОПУБЛИКОВАНИЕ
Постановление Правительства Брянской области от 13.03.2018 № 101-п
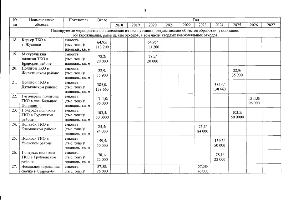
"Об утверждении региональной программы "Обращение с отходами, в том числе с твердыми коммунальными отходами, на территории Брянской области на 2019 - 2027 годы"
Номер опубликования: 3200201803140002
Дата опубликования: 14.03.2018
Страница №33 из 37:
Увеличить