Официальное опубликование правовых актов
ОФИЦИАЛЬНОЕ ОПУБЛИКОВАНИЕ
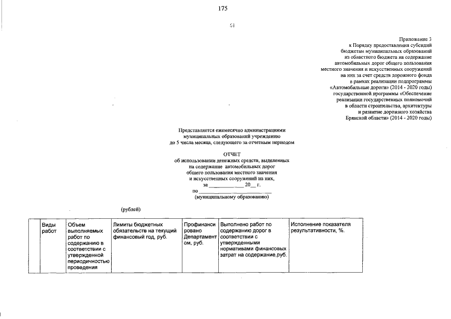
Постановление Правительства Брянской области от 28.12.2017 № 757-п
"О внесении изменений в государственную программу "Обеспечение реализации государственных полномочий в области строительства, архитектуры и развитие дорожного хозяйства Брянской области" (2014 - 2020 годы)"
Номер опубликования: 3200201801040009
Дата опубликования: 04.01.2018
Страница №177 из 252:
Увеличить