Официальное опубликование правовых актов
ОФИЦИАЛЬНОЕ ОПУБЛИКОВАНИЕ
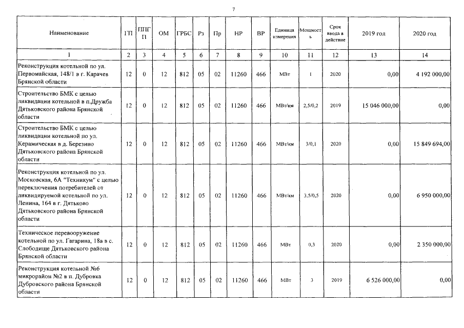
Постановление Правительства Брянской области от 28.12.2017 № 755-п
"Об утверждении перечней объектов бюджетных инвестиций государственной собственности региональной адресной инвестиционной программы на 2018 год и на плановый период 2019-2020 годов и перечней объектов капитальных вложений муниципальной собственности региональной адресной инвестиционной программы на 2018 год и на плановый период 2019-2020 годов"
Номер опубликования: 3200201801040004
Дата опубликования: 04.01.2018
Страница №52 из 92:
Увеличить