Официальное опубликование правовых актов
ОФИЦИАЛЬНОЕ ОПУБЛИКОВАНИЕ
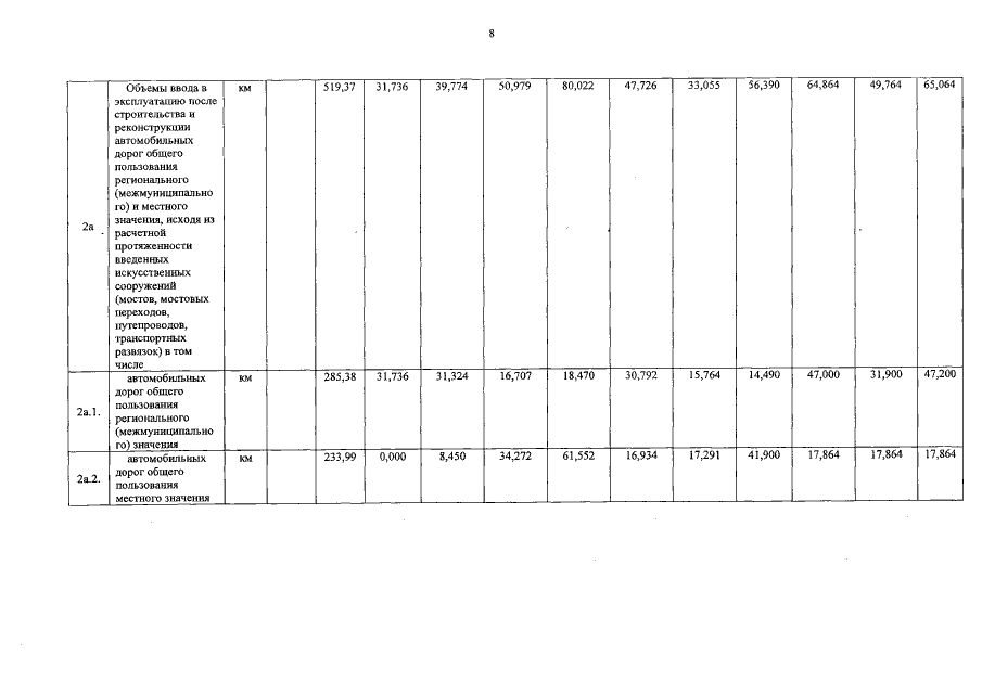
Постановление Правительства Брянской области от 26.12.2017 № 726-п
"О внесении изменений в государственную программу "Обеспечение реализации государственных полномочий в области строительства, архитектуры и развитие дорожного хозяйства Брянской области" (2014 - 2020 годы)"
Номер опубликования: 3200201712290005
Дата опубликования: 29.12.2017
Страница №8 из 71:
Увеличить