Официальное опубликование правовых актов
ОФИЦИАЛЬНОЕ ОПУБЛИКОВАНИЕ
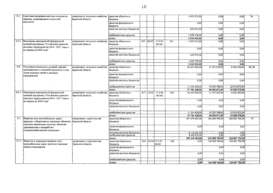
Постановление Правительства Брянской области от 04.12.2017 № 620-п
"О внесении изменений в государственную программу "Развитие сельского хозяйства и регулирование рынков сельскохозяйственной продукции, сырья и продовольствия Брянской области" (2017 - 2020 годы)"
Номер опубликования: 3200201712080013
Дата опубликования: 08.12.2017
Страница №18 из 29:
Увеличить