Официальное опубликование правовых актов
ОФИЦИАЛЬНОЕ ОПУБЛИКОВАНИЕ
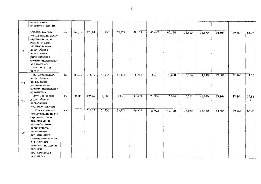
Постановление Правительства Брянской области от 13.11.2017 № 557-п
"О внесении изменений в государственную программу "Обеспечение реализации государственных полномочий в области строительства, архитектуры и развитие дорожного хозяйства Брянской области" (2014 - 2020 годы)"
Номер опубликования: 3200201711170002
Дата опубликования: 17.11.2017
Страница №9 из 74:
Увеличить