Официальное опубликование правовых актов
ОФИЦИАЛЬНОЕ ОПУБЛИКОВАНИЕ
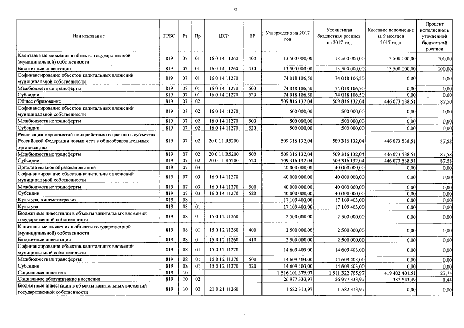
Постановление Правительства Брянской области от 23.10.2017 № 522-п
"Об утверждении отчета об исполнении областного бюджета за 9 месяцев 2017 года"
Номер опубликования: 3200201710300001
Дата опубликования: 30.10.2017
Страница №88 из 246:
Увеличить