Официальное опубликование правовых актов
ОФИЦИАЛЬНОЕ ОПУБЛИКОВАНИЕ
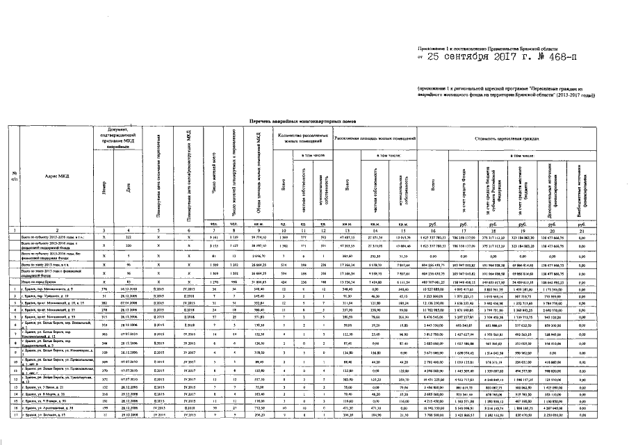
Постановление Правительства Брянской области от 25.09.2017 № 468-п
"О внесении изменений в региональную адресную программу "Переселение граждан из аварийного жилищного фонда на территории Брянской области" (2013 - 2017 годы)"
Номер опубликования: 3200201709280008
Дата опубликования: 28.09.2017
Страница №5 из 22:
Увеличить