Официальное опубликование правовых актов
ОФИЦИАЛЬНОЕ ОПУБЛИКОВАНИЕ
Постановление Правительства Брянской области от 25.09.2017 № 478-п
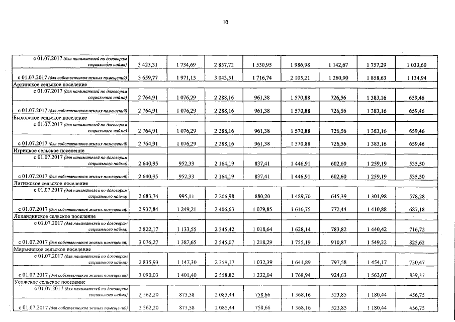
"О региональных стандартах стоимости жилищно- коммунальных услуг, используемых для расчета субсидий на оплату жилого помещения и коммунальных услуг"
Номер опубликования: 3200201709280007
Дата опубликования: 28.09.2017
Страница №20 из 57:
Увеличить