Официальное опубликование правовых актов
ОФИЦИАЛЬНОЕ ОПУБЛИКОВАНИЕ
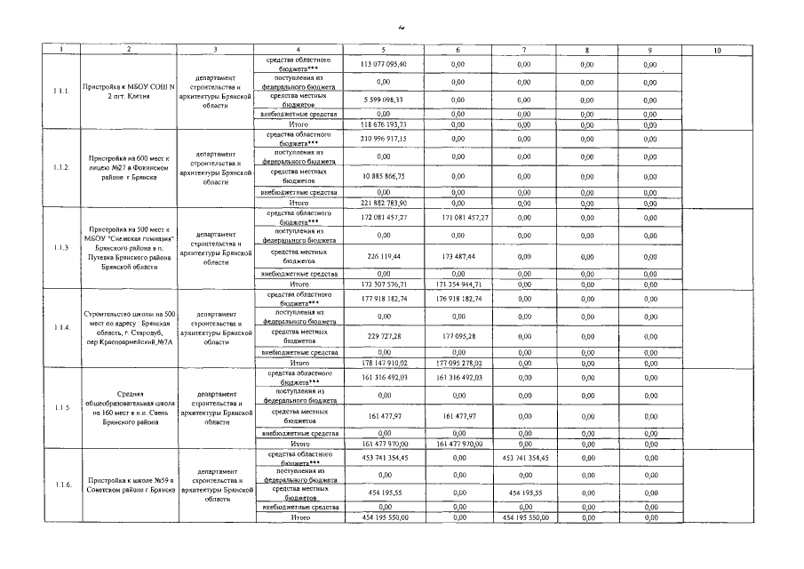
Постановление Правительства Брянской области от 31.08.2017 № 416-п
"О внесении изменений в государственную программу "Создание новых мест в общеобразовательных организациях Брянской области в соответствии с прогнозируемой потребностью и современными условиями обучения" (2016 - 2025 годы)"
Номер опубликования: 3200201709050004
Дата опубликования: 05.09.2017
Страница №4 из 13:
Увеличить