Официальное опубликование правовых актов
ОФИЦИАЛЬНОЕ ОПУБЛИКОВАНИЕ
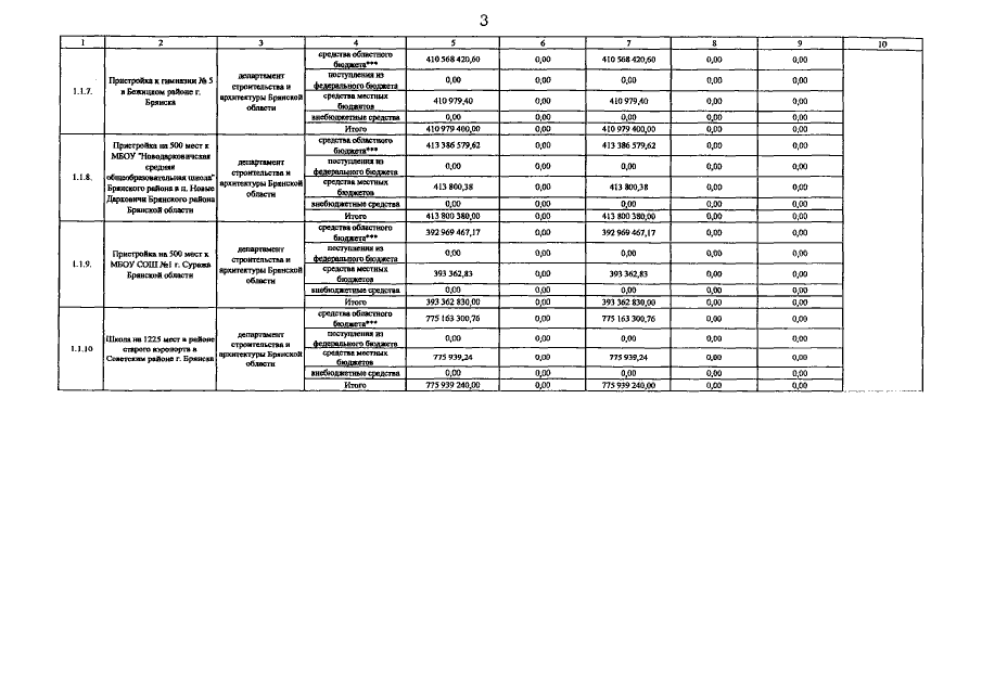
Постановление Правительства Брянской области от 14.08.2017 № 370-п
"О внесении изменений в государственную программу "Создание новых мест в общеобразовательных организациях Брянской области в соответствии с прогнозируемой потребностью и современными условиями обучения" (2016 - 2025 годы)"
Номер опубликования: 3200201708160003
Дата опубликования: 16.08.2017
Страница №5 из 17:
Увеличить