Официальное опубликование правовых актов
ОФИЦИАЛЬНОЕ ОПУБЛИКОВАНИЕ
Постановление Правительства Брянской области от 01.08.2017 № 351-п
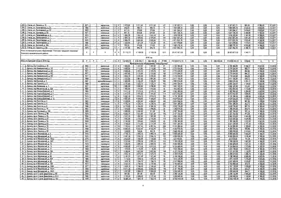
"О внесении изменений в краткосрочный (2017 - 2019 годы) план реализации региональной программы "Проведение капитального ремонта общего имущества многоквартирных домов на территории Брянской области" (2014 - 2043 годы)"
Номер опубликования: 3200201708080006
Дата опубликования: 08.08.2017
Страница №10 из 48:
Увеличить