Официальное опубликование правовых актов
ОФИЦИАЛЬНОЕ ОПУБЛИКОВАНИЕ
Указ Губернатора Брянской области от 27.07.2017 № 125
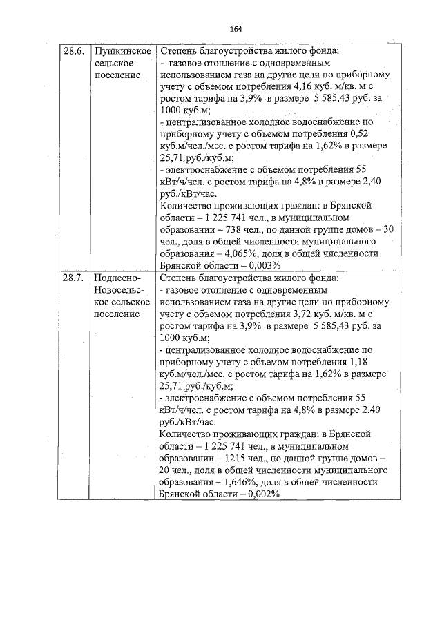
"О внесении изменений в приложения 1, 2 к указу Губернатора Брянской области от 29 декабря 2016 года № 389 "О предельных (максимальных) индексах изменения размера вносимой гражданами платы за коммунальные услуги в муниципальных образованиях Брянской области на 2017 год и долгосрочный период 2018-2019 годов"
Номер опубликования: 3200201708020016
Дата опубликования: 02.08.2017
Страница №165 из 194:
Увеличить