Официальное опубликование правовых актов
ОФИЦИАЛЬНОЕ ОПУБЛИКОВАНИЕ
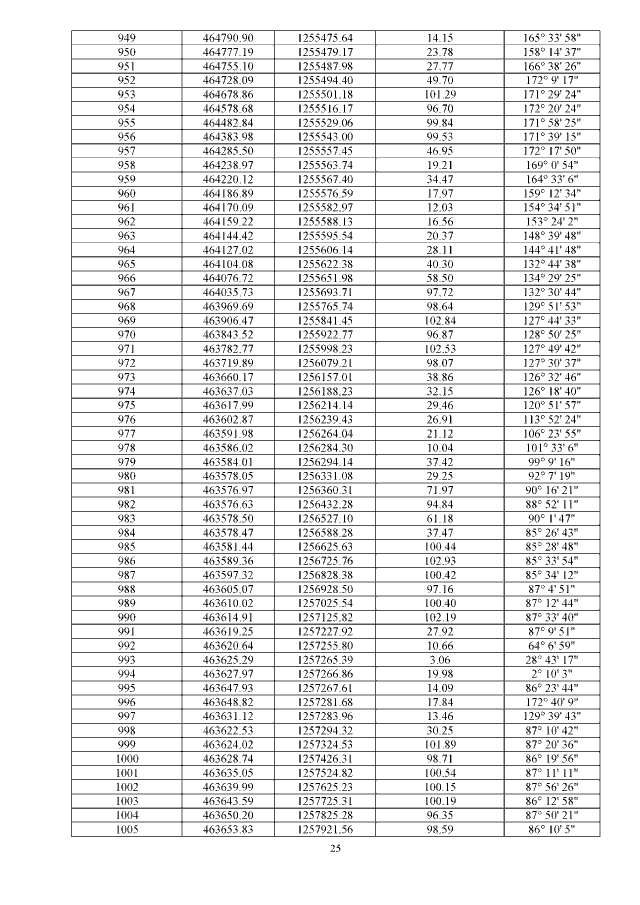
Постановление Правительства Брянской области от 03.07.2017 № 294-п
"Об утверждении проекта планировки и проекта межевания территории земельных участков для размещения объекта реконструкции автомобильной дороги Мглин - Сураж на участке км 2+000 - км 30+200 в Мглинском и Суражском районах Брянской области"
Номер опубликования: 3200201707060005
Дата опубликования: 06.07.2017
Страница №26 из 357:
Увеличить