Официальное опубликование правовых актов
ОФИЦИАЛЬНОЕ ОПУБЛИКОВАНИЕ
Постановление Правительства Брянской области от 29.05.2017 № 258-п
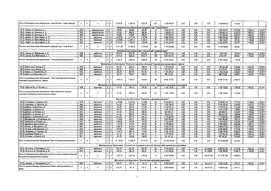
"О внесении изменений в постановление Правительства Брянской области от 5 декабря 2016 года № 618-п "Об утверждении краткосрочного (2017 год) плана реализации региональной программы "Проведение капитального ремонта общего имущества многоквартирных домов на территории Брянской области" (2014 - 2043 годы)" и краткосрочный (2017 год) план реализации региональной программы "Проведение капитального ремонта общего имущества многоквартирных домов на территории Брянской области" (2014-2043 годы)"
Номер опубликования: 3200201706020024
Дата опубликования: 02.06.2017
Страница №6 из 48:
Увеличить