Официальное опубликование правовых актов
ОФИЦИАЛЬНОЕ ОПУБЛИКОВАНИЕ
Постановление Правительства Брянской области от 10.05.2017 № 205-п
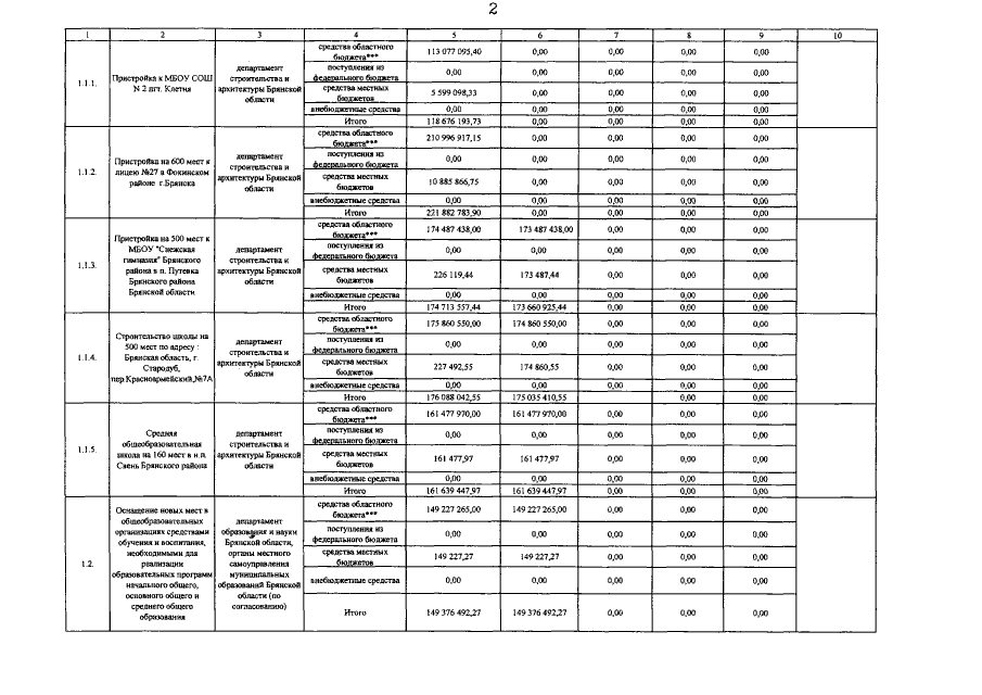
"О внесении изменений в государственную программу "Создание новых мест в общеобразовательных организациях Брянской области в соответствии с прогнозируемой потребностью и современными условиями обучения" (2016 - 2025 годы)"
Номер опубликования: 3200201705160002
Дата опубликования: 16.05.2017
Страница №6 из 31:
Увеличить